我們經常看到很多非常經典的運算放大器應用圖集,但是這些應用都建立在雙電源的基礎上,很多時候,電路的設計者必須用單電源供電,但是他們不知道該如何將雙電源的電路轉換成單電源電路。
在設計單電源電路時需要比雙電源電路更加小心,設計者必須要完全理解這篇文章中所述的內容。
1.1 電源供電和單電源供電
所有的運算放大器都有兩個電源引腳,一般在資料中,它們的標識是VCC+和VCC-,但是有些時候它們的標識是VCC+和GND。這是因為有些數據手冊的作者企圖將這種標識的差異作為單電源運放和雙電源運放的區別。但是,這并不是說他們就一定要那樣使用――他們可能可以工作在其他的電壓下。在運放不是按默認電壓供電的時候,需要參考運放的數據手冊,特別是絕對最大供電電壓和電壓擺動說明。
絕大多數的模擬電路設計者都知道怎么在雙電源電壓的條件下使用運算放大器,比如圖一左邊的那個電路,一個雙電源是由一個正電源和一個相等電壓的負電源組成。一般是正負15V,正負12V和正負5V也是經常使用的。輸入電壓和輸出電壓都是參考地給出的,還包括正負電壓的擺動幅度極限Vom以及最大輸出擺幅。
單電源供電的電路(圖一中右)運放的電源腳連接到正電源和地。正電源引腳接到VCC+,地或者VCC-引腳連接到GND。將正電壓分成一半后的電壓作為虛地接到運放的輸入引腳上,這時運放的輸出電壓也是該虛地電壓,運放的輸出電壓以虛地為中心,擺幅在Vom 之內。
有一些新的運放有兩個不同的最高輸出電壓和最低輸出電壓。這種運放的數據手冊中會特別分別指明Voh 和Vol 。需要特別注意的是有不少的設計者會很隨意的用虛地來參考輸入電壓和輸出電壓,但在大部分應用中,輸入和輸出是參考電源地的,所以設計者必須在輸入和輸出的地方加入隔直電容,用來隔離虛地和地之間的直流電壓。(參見1.3節)


通常單電源供電的電壓一般是5V,這時運放的輸出電壓擺幅會更低。另外現在運放的供電電壓也可以是3V 也或者會更低。出于這個原因在單電源供電的電路中使用的運放基本上都是Rail-To-Rail 的運放,這樣就消除了丟失的動態范圍。
需要特別指出的是輸入和輸出不一定都能夠承受Rail-To-Rail 的電壓。雖然器件被指明是軌至軌(Rail-To-Rail)的,如果運放的輸出或者輸入不支持軌至軌,接近輸入或者接近輸出電壓極限的電壓可能會使運放的功能退化,所以需要仔細的參考數據手冊是否輸入和輸出是否都是軌至軌。這樣才能保證系統的功能不會退化,這是設計者的義務。
1. 2 虛地
單電源工作的運放需要外部提供一個虛地,通常情況下,這個電壓是VCC/2,圖二的電路可以用來產生VCC/2的電壓,但是他會降低系統的低頻特性。


R1 和R2 是等值的,通過電源允許的消耗和允許的噪聲來選擇,電容C1 是一個低通濾波器,用來減少從電源上傳來的噪聲。在有些應用中可以忽略緩沖運放。
在下文中,有一些電路的虛地必須要由兩個電阻產生,但是其實這并不是完美的方法。在這些例子中,電阻值都大于100K,當這種情況發生時,電路圖中均有注明。
1. 3 交流耦合
虛地是大于電源地的直流電平,這是一個小的、局部的地電平,這樣就產生了一個電勢問題:輸入和輸出電壓一般都是參考電源地的,如果直接將信號源的輸出接到運放的輸入端,這將會產生不可接受的直流偏移。如果發生這樣的事情,運放將不能正確的響應輸入電壓,因為這將使信號超出運放允許的輸入或者輸出范圍。
解決這個問題的方法將信號源和運放之間用交流耦合。使用這種方法,輸入和輸出器件就都可以參考系統地,并且運放電路可以參考虛地。當不止一個運放被使用時,如果碰到以下條件級間的耦合電容就不是一定要使用:第一級運放的參考地是虛地第二級運放的參考第也是虛地這兩級運放的每一級都沒有增益。任何直流偏置在任何一級中都將被乘以增益,并且可能使得電路超出它的正常工作電壓范圍。
如果有任何疑問,裝配一臺有耦合電容的原型,然后每次取走其中的一個,觀察電工作是否正常。除非輸入和輸出都是參考虛地的,否則這里就必須要有耦合電容來隔離信號源和運放輸入以及運放輸出和負載。一個好的解決辦法是斷開輸入和輸出,然后在所有運放的兩個輸入腳和運放的輸出腳上檢查直流電壓。所有的電壓都必須非常接近虛地的電壓,如果不是,前級的輸出就就必須要用電容做隔離。(或者電路有問題)
1. 4 組合運放電路
在一些應用中,組合運放可以用來節省成本和板上的空間,但是不可避免的引起相互之間的耦合,可以影響到濾波、直流偏置、噪聲和其他電路特性。設計者通常從獨立的功能原型開始設計,比如放大、直流偏置、濾波等等。在對每個單元模塊進行校驗后將他們聯合起來。除非特別說明,否則本文中的所有濾波器單元的增益都是 1。
1. 5 選擇電阻和電容的值
每一個剛開始做模擬設計的人都想知道如何選擇元件的參數。電阻是應該用1 歐的還是應該用1 兆歐的?一般的來說普通的應用中阻值在K 歐級到100K 歐級是比較合適的。高速的應用中阻值在100 歐級到1K 歐級,但他們會增大電源的消耗。便攜設計中阻值在1 兆級到10 兆歐級,但是他們將增大系統的噪聲。用來選擇調整電路參數的電阻電容值的基本方程在每張圖中都已經給出。如果做濾波器,電阻的精度要選擇1% E -96系列(參看附錄A)。一但電阻值的數量級確定了,選擇標準的E-12系列電容。
用E-24系列電容用來做參數的調整,但是應該盡量不用。用來做電路參數調整的電容不應該用5%的,應該用1%。
2.1 放大
放大電路有兩個基本類型:同相放大器和反相放大器。他們的交流耦合版本如圖三所示。對于交流電路,反向的意思是相角被移動180度。這種電路采用了耦合電容 ――Cin 。Cin被用來阻止電路產生直流放大,這樣電路就只會對交流產生放大作用。如果在直流電路中,Cin被省略,那么就必須對直流放大進行計算。
在高頻電路中,不要違反運放的帶寬限制,這是非常重要的。實際應用中,一級放大電路的增益通常是100倍(40dB),再高的放大倍數將引起電路的振蕩,除非在布板的時候就非常注意。如果要得到一個放大倍數比較的大放大器,用兩個等增益的運放或者多個等增益運放比用一個運放的效果要好的多。


2.2 衰減
傳統的用運算放大器組成的反相衰減器如圖四所示。


在電路中R2要小于R1。這種方法是不被推薦的,因為很多運放是不適宜工作在放大倍數小于1倍的情況下。正確的方法是用圖五的電路。


在表一中的一套規格化的R3 的阻值可以用作產生不同等級的衰減。對于表中沒有的阻值,可以用以下的公式計算
R3=(Vo/Vin)/(2-2(Vo/Vin))
如果表中有值,按以下方法處理:
為Rf和Rin在1K到100K之間選擇一個值,該值作為基礎值。
將Rin 除以二得到RinA 和RinB。
將基礎值分別乘以1 或者2 就得到了Rf、Rin1 和Rin2,如圖五中所示。
在表中給R3 選擇一個合適的比例因子,然后將他乘以基礎值。
比如,如果Rf是20K,RinA和RinB都是10K,那么用12.1K的電阻就可以得到-3dB的衰減。


圖六中同相的衰減器可以用作電壓衰減和同相緩沖器使用。


2.3 加法器
圖七是一個反相加法器,他是一個基本的音頻混合器。但是該電路的很少用于真正的音頻混合器。因為這會逼近運放的工作極限,實際上我們推薦用提高電源電壓的辦法來提高動態范圍。
同相加法器是可以實現的,但是是不被推薦的。因為信號源的阻抗將會影響電路的增益。


2.4 減法器
就像加法器一樣,圖八是一個減法器。一個通常的應用就是用于去除立體聲磁帶中的原唱而留下伴音(在錄制時兩通道中的原唱電平是一樣的,但是伴音是略有不同的)。


2.5 模擬電感
圖九的電路是一個對電容進行反向操作的電路,它用來模擬電感。電感會抵制電流的變化,所以當一個直流電平加到電感上時電流的上升是一個緩慢的過程,并且電感中電阻上的壓降就顯得尤為重要。


電感會更加容易的讓低頻通過它,它的特性正好和電容相反,一個理想的電感是沒有電阻的,它可以讓直流電沒有任何限制的通過,對頻率是無窮大的信號有無窮大的阻抗。
如果直流電壓突然通過電阻R1 加到運放的反相輸入端上的時候,運放的輸出將不會有任何的變化,因為這個電壓同過電容C1 也同樣加到了正相輸出端上,運放的輸出端表現出了很高的阻抗,就像一個真正的電感一樣。
隨著電容C1 不斷的通過電阻R2 進行充電,R2上電壓不斷下降,運放通過電阻R1汲取電流。隨著電容不斷的充電,最后運放的兩個輸入腳和輸出腳上的電壓最終趨向于虛地(Vcc/2)。
當電容C1 完全被充滿時,電阻R1 限制了流過的電流,這就表現出一個串連在電感中電阻。這個串連的電阻就限制了電感的Q 值。真正電感的直流電阻一般會比模擬的電感小的多。這有一些模擬電感的限制:
電感的一段連接在虛地上;
模擬電感的Q值無法做的很高,取決于串連的電阻R1;
模擬電感并不像真正的電感一樣可以儲存能量,真正的電感由于磁場的作用可以引起很高的反相尖峰電壓,但是模擬電感的電壓受限于運放輸出電壓的擺幅,所以響應的脈沖受限于電壓的擺幅。
2.6 儀用放大器
儀用放大器用于需要對小電平信號直流信號進行放大的場合,他是由減法器拓撲而來的。儀用放大器利用了同相輸入端高阻抗的優勢?;镜膬x用放大器如圖十所示。


這個電路是基本的儀用放大電路,其他的儀用放大器也如圖中所示,這里的輸入端也使用了單電源供電。這個電路實際上是一個單電源的應變儀。這個電路的缺點是需要完全相等的電阻,否則這個電路的共模抑制比將會很低。
圖十中的電路可以簡單的去掉三個電阻,就像圖十一中的電路。


這個電路的增益非常好計算。但是這個電路也有一個缺點:那就是電路中的兩個電阻必須一起更換,而且他們必須是等值的。另外還有一個缺點,第一級的運放沒有產生任何有用的增益。
另外用兩個運放也可以組成儀用放大器,就像圖十二所示。


但是這個儀用放大器是不被推薦的,因為第一個運放的放大倍數小于一,所以他可能是不穩定的,而且Vin -上的信號要花費比Vin +上的信號更多的時間才能到達輸出端。
這節非常深入地介紹了用運放組成的有源濾波器。在很多情況中,為了阻擋由于虛地引起的直流電平,在運放的輸入端串入了電容。這個電容實際上是一個高通濾波器,在某種意義上說,像這樣的單電源運放電路都有這樣的電容。設計者必須確定這個電容的容量必須要比電路中的其他電容器的容量大100 倍以上。這樣才可以保證電路的幅頻特性不會受到這個輸入電容的影響。如果這個濾波器同時還有放大作用,這個電容的容量最好是電路中其他電容容量的1000 倍以上。如果輸入的信號早就包含了VCC/2 的直流偏置,這個電容就可以省略。
這些電路的輸出都包含了VCC/2 的直流偏置,如果電路是最后一級,那么就必須串入輸出電容。
這里有一個有關濾波器設計的協定,這里的濾波器均采用單電源供電的運放組成。濾波器的實現很簡單,但是以下幾點設計者必須注意:
1. 濾波器的拐點(中心)頻率
2. 濾波器電路的增益
3. 帶通濾波器和帶阻濾波器的的Q值
4. 低通和高通濾波器的類型(Butterworth 、Chebyshev、Bessell)
不幸的是要得到一個完全理想的濾波器是無法用一個運放組成的。即使可能,由于各個元件之間的負雜互感而導致設計者要用非常復雜的計算才能完成濾波器的設計。通常對波形的控制要求越復雜就意味者需要更多的運放,這將根據設計者可以接受的最大畸變來決定。或者可以通過幾次實驗而最終確定下來。如果設計者希望用最少的元件來實現濾波器,那么就別無選擇,只能使用傳統的濾波器,通過計算就可以得到了。
3.1 一階濾波器
一階濾波器是最簡單的電路,他們有20dB 每倍頻的幅頻特性
3.1.1 低通濾波器
典型的低通濾波器如圖十三所示。


3.1.2 高通濾波器
典型的高通濾波器如圖十四所示。


3.1.3 文氏濾波器
文氏濾波器對所有的頻率都有相同的增益,但是它可以改變信號的相角,同時也用來做相角修正電路。圖十五中的電路對頻率是F 的信號有90 度的相移,對直流的相移是0度,對高頻的相移是180度。


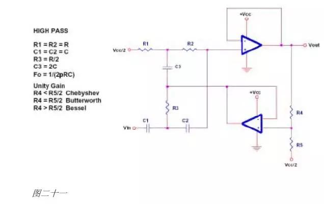
3.2 二階濾波器
二階濾波電路一般用他們的發明者命名。他們中的少數幾個至今還在使用。有一些二階濾波器的拓撲結構可以組成低通、高通、帶通、帶阻濾波器,有些則不行。這里沒有列出所有的濾波器拓撲結構,只是將那些容易實現和便于調整的列了出來。
二階濾波器有40dB 每倍頻的幅頻特性。
通常的同一個拓撲結構組成的帶通和帶阻濾波器使用相同的元件來調整他們的Q 值,而且他們使濾波器在Butterworth 和Chebyshev 濾波器之間變化。必須要知道只有Butterworth 濾波器可以準確的計算出拐點頻率,Chebyshev 和Bessell濾波器只能在Butterworth 濾波器的基礎上做一些微調。
我們通常用的帶通和帶阻濾波器有非常高的Q 值。如果需要實現一個很寬的帶通或者帶阻濾波器就需要用高通濾波器和低通濾波器串連起來。對于帶通濾波器的通過特性將是這兩個濾波器的交疊部分,對于帶阻濾波器的通過特性將是這兩個濾波器的不重疊部分。這里沒有介紹反相 Chebyshev 和 Elliptic 濾波器,因為他們已經不屬于電路集需要介紹的范圍了。
不是所有的濾波器都可以產生我們所設想的結果――比如說濾波器在阻帶的最后衰減幅度在多反饋濾波器中的會比在Sallen-Key 濾波器中的大。由于這些特性超出了電路圖集的介紹范圍,請大家到教科書上去尋找每種電路各自的優缺點。不過這里介紹的電路在不是很特殊的情況下使用,其結果都是可以接受的。
3.2.1 Sallen-Key濾波器
Sallen-Key 濾波器是一種流行的、廣泛應用的二階濾波器。他的成本很低,僅需要一個運放和四個無源器件組成。但是換成Butterworth 或Chebyshev 濾波器就不可能這么容易的調整了。這個電路是一個單位增益的電路,改變Sallen-Key 濾波器的增益同時就改變了濾波器的幅頻特性和類型。實際上Sallen-Key 濾波器就是增益為1的Butterworth 濾波器。


3.2.2 多反饋濾波器
多反饋濾波器是一種通用,低成本以及容易實現的濾波器。不幸的是,設計時的計算有些復雜,在這里不作深入的介紹。請參看參考條目【1】中的對多反饋濾波器的細節介紹。如果需要的是一個單位增益的Butterworth 濾波器,那么這里的電路就可以給出一個近似的結果。


3.2.3 雙T濾波器
雙T 濾波器既可以用一個運放也可儀用兩個運放實現。他是建立在三個電阻和三個電容組成的無源網絡上的。這六個元件的匹配是臨界的,但幸運的是這仍是一個常容易的過程,這個網絡可以用同一值的電阻和同一值的電容組成。用圖中的公式就可以同時的將R3 和C3 計算出來。應該盡量選用同一批的元件,他們有非常相近的特性。
3.2.3.1 單運放實現


如果用參數非常接近的元件組成帶通濾波器,就很容易發生振蕩。接到虛地的電阻最好在E-96 1%系列中選擇,這樣就可以破壞振蕩條件。
3.2.3.2 雙運放實現
典型的雙運放如圖20到圖22所示





運算放大器(Operational Amplifier,簡稱OP、OPA、OPAMP)是一種直流耦合﹐差模(差動模式)輸入、通常為單端輸出(Differential-in, single-ended output)的高增益(gain)電壓放大器,因為剛開始主要用于加法,乘法等運算電路中,因而得名。一個理想的運算放大器必須具備下列特性:無限大的輸入阻抗、等于零的輸出阻抗、無限大的開回路增益、無限大的共模排斥比的部分、無限大的頻寬。最基本的運算放大器如圖1-1。一個運算放大器模組一般包括一個正輸入端(OP_P)、一個負輸入端(OP_N)和一個輸出端(OP_O)。

通常使用運算放大器時,會將其輸出端與其反相輸入端(inverting input node)連接,形成一負反饋(negative feedback)組態。原因是運算放大器的電壓增益非常大,范圍從數百至數萬倍不等,使用負反饋方可保證電路的穩定運作。但是這并不代表運算放大器不能連接成正回饋(positive feedback),相反地,在很多需要產生震蕩訊號的系統中,正回饋組態的運算放大器是很常見的組成元件。
開環回路


開環回路運算放大器如圖1-2。當一個理想運算放大器采用開回路的方式工作時,其輸出與輸入電壓的關系式如下:
Vout = ( V+ -V-) * Aog
其中Aog代表運算放大器的開環回路差動增益(open-loop differential gai由于運算放大器的開環回路增益非常高,因此就算輸入端的差動訊號很小,仍然會讓輸出訊號「飽和」(saturation),導致非線性的失真出現。
閉環負反饋
將運算放大器的反向輸入端與輸出端連接起來,放大器電路就處在負反饋組態的狀況,此時通??梢詫㈦娐泛唵蔚胤Q為閉環放大器。閉環放大器依據輸入訊號進入放大器的端點,又可分為反相(inverting)放大器與非反相(non-inverting)放大器兩種。
反相閉環放大器如圖1-3。假設這個閉環放大器使用理想的運算放大器,則因為其開環增益為無限大,所以運算放大器的兩輸入端為虛接地(virtual ground),其輸出與輸入電壓的關系式如下:
Vout = -(Rf / Rin) * Vin


非反相閉環放大器如圖1-4。假設這個閉環放大器使用理想的運算放大器,則因為其開環增益為無限大,所以運算放大器的兩輸入端電壓差幾乎為零,其輸出與輸入電壓的關系式如下:Vout = ((R2 / R1) + 1) * Vin


閉環正回饋
將運算放大器的正向輸入端與輸出端連接起來,放大器電路就處在正回饋的狀況,由于正回饋組態工作于一極不穩定的狀態,多應用于需要產生震蕩訊號的應用中。
理想運放和理想運放條件
在分析和綜合運放應用電路時,大多數情況下,可以將集成運放看成一個理想運算放大器。理想運放顧名思義是將集成運放的各項技術指標理想化。由于實際運放的技術指標比較接近理想運放,因此由理想化帶來的誤差非常小,在一般的工程計算中可以忽略。
理想運放各項技術指標具體如下:
1.開環差模電壓放大倍數Aod = ∞;
2.輸入電阻Rid = ∞;輸出電阻Rod =0
3.輸入偏置電流IB1=IB2=0 ;
4.失調電壓UIO、失調電流IIO 、失調電壓溫漂
、失調電流溫漂
均為零;
、失調電流溫漂
均為零;5.共模抑制比CMRR = ∞;;
6.-3dB帶寬fH = ∞ ;
7.無內部干擾和噪聲。
實際運放的參數達到如下水平即可以按理想運放對待:
電壓放大倍數達到104~105倍;輸入電阻達到105Ω;輸出電阻小于幾百歐姆;
外電路中的電流遠大于偏置電流;失調電壓、失調電流及其溫漂很小,造電路的漂移在允許范圍之內,電路的穩定性符合要求即可;輸入最小信號時,有一定信噪比,共模抑制比大于等于60dB;帶寬符合電路帶寬要求即可。
運算放大器中的虛短和虛斷含意
理想運放工作在線性區時可以得出二條重要的結論:
虛短
因為理想運放的電壓放大倍數很大,而運放工作在線性區,是一個線性放大電路,輸出電壓不超出線性范圍(即有限值),所以,運算放大器同相輸入端與反相輸入端的電位十分接近相等。在運放供電電壓為±15V時,輸出的最大值一般在10~13V。所以運放兩輸入端的電壓差,在1mV以下,近似兩輸入端短路。這一特性稱為虛短,顯然這不是真正的短路,只是分析電路時在允許誤差范圍之內的合理近似。
虛斷
由于運放的輸入電阻一般都在幾百千歐以上,流入運放同相輸入端和反相輸入端中的電流十分微小,比外電路中的電流小幾個數量級,流入運放的電流往往可以忽略,這相當運放的輸入端開路,這一特性稱為虛斷。顯然,運放的輸入端不能真正開路。
運用“虛短”、“虛斷”這兩個概念,在分析運放線性應用電路時,可以簡化應用電路的分析過程。運算放大器構成的運算電路均要求輸入與輸出之間滿足一定的函數關系,因此均可應用這兩條結論。如果運放不在線性區工作,也就沒有“虛短”、“虛斷”的特性。如果測量運放兩輸入端的電位,達到幾毫伏以上,往往該運放不在線性區工作,或者已經損壞。
重要指標
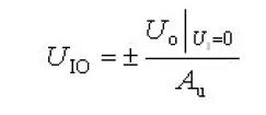
輸入失調電壓UIO
一個理想的集成運放,當輸入電壓為零時,輸出電壓也應為零(不加調零裝置)。但實際上集成運放的差分輸入級很難做到完全對稱,通常在輸入電壓為零時,存在一定的輸出電壓。輸入失調電壓是指為了使輸出電壓為零而在輸入端加的補償電壓。實際上是指輸入電壓為零時,將輸出電壓除以電壓放大倍數,折算到輸入端的數值稱為輸入失調電壓,即UIO的大小反應了運放的對稱程度和電位配合情況。UIO越小越好,其量級在2mV~20mV之間,超低失調和低漂移運放的UIO一般在1μV~20μV之間 輸入失調電流IIO
當輸出電壓為零時,差分輸入級的差分對管基極的靜態電流之差稱為輸入失調電流IIO,即

由于信號源內阻的存在,IIO的變化會引起輸入電壓的變化,使運放輸出電壓不為零。IIO愈小,輸入級差分對管的對稱程度越好,一般約為1nA~0.1μA。輸入偏置電流IIB
集成運放輸出電壓為零時,運放兩個輸入端靜態偏置電流的平均值定義為輸入偏置電流,即


從使用角度來看,偏置電流小好,由于信號源內阻變化引起的輸出電壓變化也愈小,故輸入偏置電流是重要的技術指標。一般IIB約為1nA~0.1μA。
輸入失調電壓溫漂△UIO/△T
輸入失調電壓溫漂是指在規定工作溫度范圍內,輸入失調電壓隨溫度的變化量與溫度變化量的比值。它是衡量電路溫漂的重要指標,不能用外接調零裝置的辦法來補償。輸入失調電壓溫漂越小越好。一般的運放的輸入失調電壓溫漂在±1mV/℃~±20mV/℃之間。
輸入失調電流溫漂 △IIO/△T
在規定工作溫度范圍內,輸入失調電流隨溫度的變化量與溫度變化量之比值稱為輸入失調電流溫漂。輸入失調電流溫漂是放大電路電流漂移的量度,不能用外接調零裝置來補償。高質量的運放每度幾個pA。
最大差模輸入電壓Uidmax
最大差模輸入電壓Uidmax是指運放兩輸入端能承受的最大差模輸入電壓。超過此電壓,運放輸入級對管將進入非線性區,而使運放的性能顯著惡化,甚至造成損壞。根據工藝不同,Uidmax約為±5V~±30V。
最大共模輸入電壓Uicmax
最大共模輸入電壓Uicmax是指在保證運放正常工作條件下,運放所能承受的最大共模輸入電壓。共模電壓超過此值時,輸入差分對管的工作點進入非線性區,放大器失去共模抑制能力,共模抑制比顯著下降。
最大共模輸入電壓Uicmax定義為,標稱電源電壓下將運放接成電壓跟隨器時,使輸出電壓產生1%跟隨誤差的共模輸入電壓值;或定義為 下降6dB時所加的共模輸入電壓值。
開環差模電壓放大倍數Aud是指集成運放工作在線性區、接入規定的負載,輸出電壓的變化量與運放輸入端口處的輸入電壓的變化量之比。運放的Aud在60~120dB之間。不同功能的運放,Aud相差懸殊。
差模輸入電阻Rid是指輸入差模信號時運放的輸入電阻。Rid越大,對信號源的影響越小,運放的輸入電阻Rid一般都在幾百千歐以上。
運放共模抑制比KCMR的定義與差分放大電路中的定義相同,是差模電壓放大倍數與共模電壓放大倍數之比,常用分貝數來表示。不同功能的運放,KCMR也不相同,有的在60~70dB之間,有的高達180dB。KCMR越大,對共模干擾抑制能力越強。
開環帶寬BW
開環帶寬又稱-3dB帶寬,是指運算放大器的差模電壓放大倍數Aud在高頻段下降3dB所對應的頻率fH。
單位增益帶寬BWG是指信號頻率增加,使Aud下降到1時所對應的頻率fT,即Aud為0dB時的信號頻率fT。它是集成運放的重要參數。741型運放的 fT=7Hz,是比較低的。
轉換速率SR (壓擺率)
轉換速率SR
是指放大電路在電壓放大倍數等于1的條件下,輸入大信號(例如階躍信號)時,放大電路輸出電壓對時間的最大變化速率,見圖7-1-1。它反映了運放對于快速變化的輸入信號的響應能力。轉換速率SR的表達式為


轉換速率SR是在大信號和高頻信號工作時的一項重要指標,目前一般通用型運放壓擺率在1~10V/μs左右。


單位增益帶寬BWG (fT)
共模抑制比KCMR
差模輸入電阻
開環差模電壓放大倍數Aud


開環帶寬:
開環帶寬定義為,將一個恒幅正弦小信號輸入到運放的輸入端,從運放的輸出端測得開環電壓增益從運放的直流增益下降3db(或是相當于運放的直流增益的0.707)所對應的信號頻率。這用于很小信號處理。
單位增益帶寬GB:
單位增益帶寬定義為,運放的閉環增益為1倍條件下,將一個恒幅正弦小信號輸入到運放的輸入端,從運放的輸出端測得閉環電 壓增益下降3db(或是相當于運放輸入信號的0.707)所對應的信號頻率。單位增益帶寬是一個很重要的指標,對于正弦小信號放大時,單位增益帶寬等于輸 入信號頻率與該頻率下的最大增益的乘積,換句話說,就是當知道要處理的信號頻率和信號需要的增以后,可以計算出單位增益帶寬,用以選擇合適的運放。這用于 小信號處理中運放選型。
轉換速率(也稱為壓擺率)SR:
運放轉換速率定義為,運放接成閉環條件下,將一個大信號(含階躍信號)輸入到運放的輸入端,從運放的輸出 端測得運放的輸出上升速率。由于在轉換期間,運放的輸入級處于開關狀態,所以運放的反饋回路不起作用,也就是轉換速率與閉環增益無關。轉換速率對于大信號 處理是一個很重要的指標,對于一般運放轉換速率SR<=10V/μs,高速運放的轉換速率SR>10V/μs。目前的高速運放最高轉換速率 SR達到6000V/μs。這用于大信號處理中運放選型。
全功率帶寬BW:
全功率帶寬定義為,在額定的負載時,運放的閉環增益為1倍條件下,將一個恒幅正弦大信號輸入到運放的輸入端,使運放輸出 幅度達到最大(允許一定失真)的信號頻率。這個頻率受到運放轉換速率的限制。近似地,全功率帶寬=轉換速率/2πVop(Vop是運放的峰值輸出幅度)。全功率帶寬是一個很重要的指標,用于大信號處理中運放選型。
建立時間:
建立時間定義為,在額定的負載時,運放的閉環增益為1倍條件下,將一個階躍大信號輸入到運放的輸入端,使運放輸出由0增加到某 一給定值的所需要的時間。由于是階躍大信號輸入,輸出信號達到給定值后會出現一定抖動,這個抖動時間稱為穩定時間。穩定時間+上升時間=建立時間。對于不 同的輸出精度,穩定時間有較大差別,精度越高,穩定時間越長。建立時間是一個很重要的指標,用于大信號處理中運放選型。
等效輸入噪聲電壓:
等效輸入噪聲電壓定義為,屏蔽良好、無信號輸入的的運放,在其輸出端產生的任何交流無規則的干擾電壓。這個噪聲電壓折算到運放輸入端時,就稱為運放輸入噪聲電壓(有時也用噪聲電流表示)。對于寬帶噪聲,普通運放的輸入噪聲電壓有效值約10~20μV。
差模輸入阻抗(也稱為輸入阻抗):
差模輸入阻抗定義為,運放工作在線性區時,兩輸入端的電壓變化量與對應的輸入端電流變化量的比值。差模輸 入阻抗包括輸入電阻和輸入電容,在低頻時僅指輸入電阻。一般產品也僅僅給出輸入電阻。采用雙極型晶體管做輸入級的運放的輸入電阻不大于10兆歐;場效應管 做輸入級的運放的輸入電阻一般大于109歐。
共模輸入阻抗:
共模輸入阻抗定義為,運放工作在輸入信號時(即運放兩輸入端輸入同一個信號),共模輸入電壓的變化量與對應的輸入電流變化量之比。在低頻情況下,它表現為共模電阻。通常,運放的共模輸入阻抗比差模輸入阻抗高很多,典型值在108歐以上。
輸出阻抗:
輸出阻抗定義為,運放工作在線性區時,在運放的輸出端加信號電壓,這個電壓變化量與對應的電流變化量的比值。在低頻時僅指運放的輸出電阻。這個參數在開環測試。
烜芯微專業制造二極管,三極管,MOS管,橋堆等20年,工廠直銷省20%,上萬家電路電器生產企業選用,專業的工程師幫您穩定好每一批產品,如果您有遇到什么需要幫助解決的,可以點擊右邊的工程師,或者點擊銷售經理給您精準的報價以及產品介紹
烜芯微專業制造二極管,三極管,MOS管,橋堆等20年,工廠直銷省20%,上萬家電路電器生產企業選用,專業的工程師幫您穩定好每一批產品,如果您有遇到什么需要幫助解決的,可以點擊右邊的工程師,或者點擊銷售經理給您精準的報價以及產品介紹

